Hello friends, today I am sharing in front of you the questions of Average asked in the last few years, which will help you in the preparation of IBPS PO, IBPS Clerk,SBI PO & SBI Clerk so participate in this quiz made by us, 10 in each set. Questions are given for which you will get 10 minutes , this will help you to check both speed and accuracy, do not waste time and participate in this quiz created by us. Thank you.😄😄😄
Join Here – Now you can join our Telegram Channel to get new PDF and other Study Material!
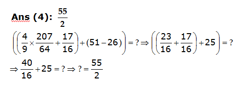
Direction (Qs.1 to 5): What value should come in place of question mark (?) in the following questions?
1➤
2➤
3➤
4➤
5➤


